本文是香港中學會考(HKCEE),1993至2011年當中,曾出現過的因式分解(Factorization)題目的講解。
2011 Paper 1 Question 3
(a)部可以先把81化為92,再用紅字所示恆等式作因式分解。
(b)部則部份使用(a)部結果,後兩項則抽出最大公因數2,會見到有兩個(9m-n),抽出來再做因式分解便可。

2010 Paper 1 Question 3
此題(a)部可如圖所示,利用紅字的恆等式作因式分解,再利用結果,配合(b)部把25化作52後,再用紅字所示的恆等式再做因式分解。

2010 Paper 2 Question 4
此題可先把-bc放到ab後,之後首兩項抽b,後兩項再抽a,再把兩個括號正負值調轉便可,因為兩者各自乘-1時,得出結果是+1,即對數值無影響。

2009 Paper 1 Question 3
(a)部兩項也有a和b,而兩者的最小次方也是1,所以可以抽ab出來做因式分解,再套用落(b)部,而(b)部後兩項則可以把7抽出來,變成有兩個(a+b),再抽出來便可。

2007 Paper 1 Question 3
(a)部可以如圖中所分拆,再用紅字所示恆等式作因式分解,再把其套用到(b)的首3項,要用(b)部紅字所示恆等式再做因式分解便可。

2006 Paper 1 Question 3
(a)部兩項均有b,故可以抽b出來。
(b)部則用紅字所示恆等式作因式分解。
(c)部則利用上兩部結果,會見到有兩個(3-a),把其抽出來便可。

2006 Paper 2 Question 4
此題以兩項為一組,先抽(p+q)出來,然後作因式分解。

2005 Paper 1 Question 3
(a)部可以如圖中所分拆,再用紅字所示恆等式作因式分解,再把其套用到(b)的首3項,後兩項則抽負號,可以見到(2x-y),前者2次方,後者1次方,把其中1次方抽出來便可。

2004 Paper 1 Question 6
兩部為獨立題目
(a)部以兩項為一組,抽(a-b)出來做因式分解。
(b)部則如圖按紅字所示恆等式作因式分解便可。

2003 Paper 1 Question 3
兩部為獨立題目
(a)部則如圖按紅字所示恆等式作因式分解便可。
(b)部則兩項為一組,抽(b-d)出來做因式分解。

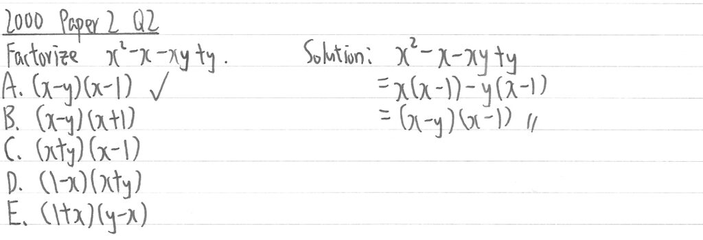
2000 Paper 2 Question 2
此題以兩項為一組,抽出(x-1)出來做因式分解。

1999 Paper 2 Question 2
此題以兩項為一組,首兩項按紅字所示恆等式作因式分解,再抽(x-y)出來便可得答案。

1998 Paper 2 Question 8
此題可以如圖中把各項移位,再用紅字所示恆等式計算答案。

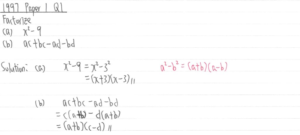
1997 Paper 1 Question 1
兩部為獨立題目
(a)部則如圖按紅字所示恆等式作因式分解便可。
(b)部則兩項為一組,抽(a+b)出來做因式分解。

1997 Paper 2 Question 4
此題先把後3項抽負號,再用紅字所示恆等式作分解便可。

1994 Paper 1 Question 1(b)
此題以兩項為一組,分別抽出(x+2y)便可做因式分解。

1994 Paper 2 Question 35
首3項可以用紅字所示恆等式作因式分解,之後兩項抽負號出來,會見到(a-b),前者2次,後者1次,把其中1次抽出來便計算到答案。

1993 Paper 2 Question 39
利用紅字所示恆等式計算後得出最後兩個括號,就是兩個因子,選項D就是經運算後的其中一個因子。

