什麼是函數?
函數(Function),簡單而言就是f(x)後面等於一條公式。當然,不一定要是f(x)的,可以是其他英文字母,總之能夠代表一條公式。
基本的函數運作,就如一部機器,輸入一個數字,然後系統會根據f(x)後面的公式計算,從而輸出一個經計算後的數值。

例如f(x)=2x+4,x是輸入的數值,然後經公式計算後,便得出右邊的數值。即:
f(1)=2(1)+4=6,代x=1到公式計算後會等於6
f(2)=2(2)+4=8,同樣代x=2後經計算得出答案是8。
其實函數在深入學習時,題目可以是十分複雜的,但在DSE必修部份中,大多只需要把數值代入公式內的未知數便可直接計算。
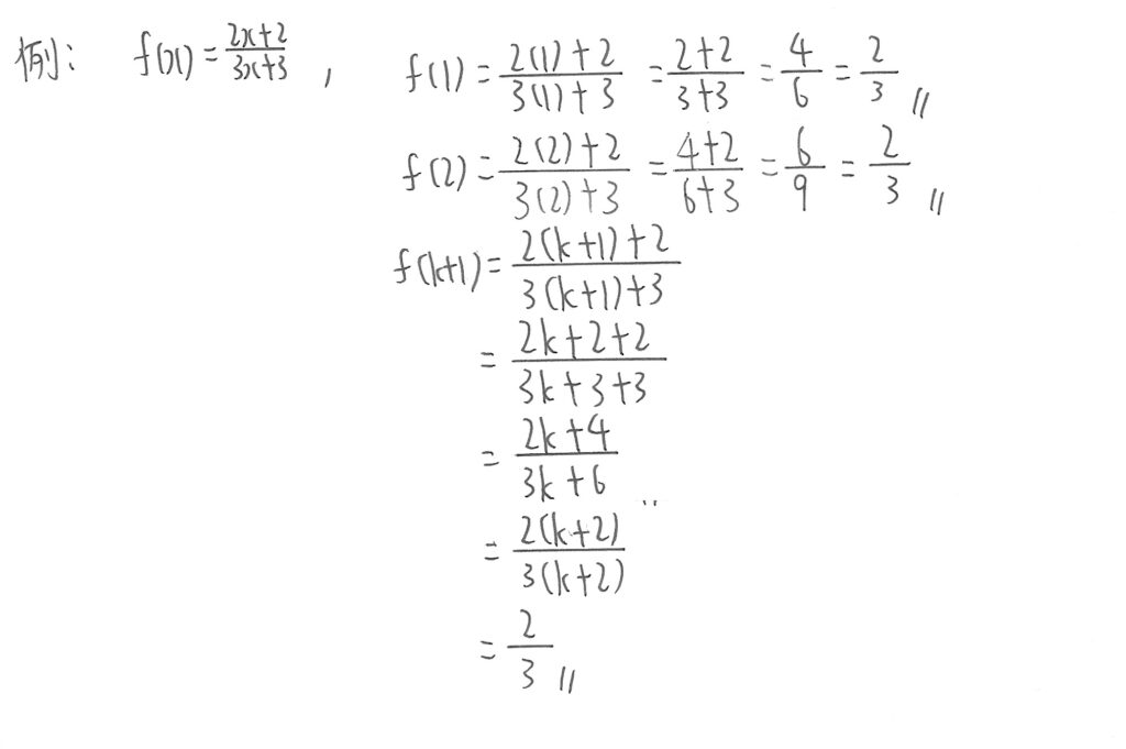
例子

當f(x)等於一條公式時,無論x是什麼,把x變成括號內的數值,即f(1)時代1,f(2)時代2。即使括號內的數包含其他未知數,例如f(k+1),一樣直接把x變成k+1便可繼續計算。
函數可以用於很多範疇,日後講解解課題,很多都會涉及到函數的,到時底會繼續和大家深入講解。
歷年考試題目
最基本函數題目,通常會在卷二獨立出題,很多時會夾雜其他課題一起考問,例如多項式(Polynomials)、基本方程式(Equations)、恆等式(Identities)、聯立方程(Simultaneous Equations)等等,因式也需要熟讀其他甲部課程會考問的課題才能輕鬆解答。
