閱讀以下試題分析前請先熟悉此課題。
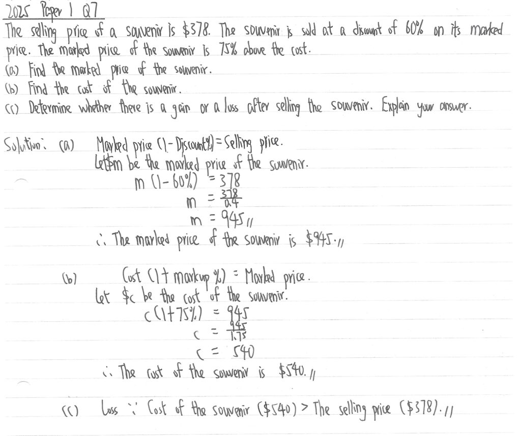
2025 Paper 1 Question 7

2024 Paper 1 Question 6

2023 Paper 2 Question 11

2022 Paper 1 Question 5

2021 Paper 1 Question 6

2020 Paper 2 Question 9

2019 Paper 1 Question 5

2018 Paper 1 Question 7

2015 Paper 1 Question 6

2015 Paper 2 Question 9

2014 Paper 1 Question 6

2013 Paper 2 Question 10

