開始看下面的講解前,大家先熟悉以下兩個課題:
多項式 Polynomials
恆等式 Identities
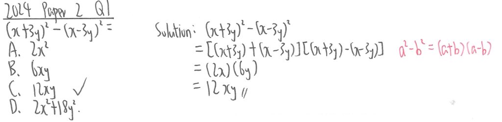
2024 Paper 2 Question 1
大家想像前半部(x+3y)為a,後半部(x-3y)為b,再用紅字所示恆等式作運算,最後數字有數字乘,英文字母因為x及y最終只有一個,所以兩個合體便可找到答案。

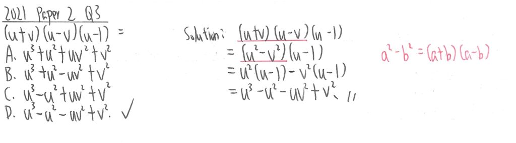
2021 Paper 2 Question 3
題目的3個括號,頭兩個可以先用紅字所示恆等式簡化,之後u2和v2各自與(u-1)相乘得出答案,小心正負號,以及記得指數定律中的「同底數相乘,指數相加」定律便可。

2020 Paper 2 Question 4
此題技巧是先把第三個括號先抽2出來,然後可以出現兩個(3a+2b),以此作公因子(Common Factor)便可得到第3行步驟,最後把第2個括號的同類項a相減便得出答案。

2019 Paper 2 Question 1
此題先把a和-b各自和後面括號相乘,然後同類項當中互相加減便可得出答案。

2015 Paper 2 Question 1
此題先把x和1各自和後面括號相乘,然後同類項當中互相加減便可得出答案。

2012 Paper 2 Question 2
大家想像前半部(4x+y)為a,後半部(4x-y)為b,再用紅字所示恆等式作運算,最後數字有數字乘,英文字母因為x及y最終只有一個,所以兩個合體便可找到答案。

